Publications > Annals of Belgian Mining
Publications > Australian Mining
Publications > Bristol Industrial Archeology Society
Publications > Caban
Publications > Coal Age
Publications > Coal Mining magazine
Publications > Engineering and Mining Journal
Publications > Gwynedd Cave & Pothole Club - Ogofa
Publications > Kendal Caving Club
Publications > Mendip Caving Group
Publications > Mining Journal
Publications > Mining publications
Publications > Mining World
Publications > North York Moors Caving Club > Moldywarps Speleological Group
Publications > North York Moors Caving Club > Scarborough Caving Club
Publications > North York Moors Caving Club > YURT Archives
Publications > Peak District Mines Historical Society > Articles
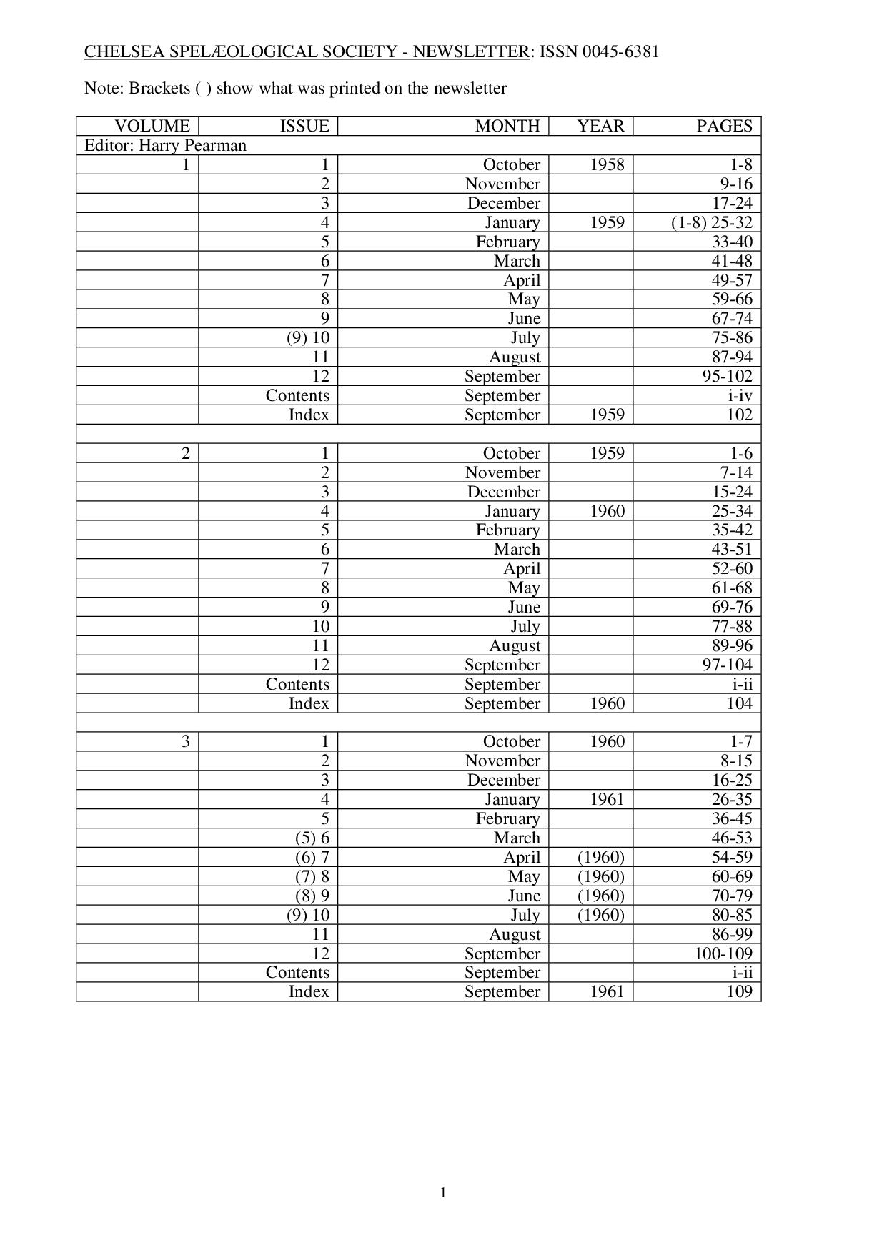
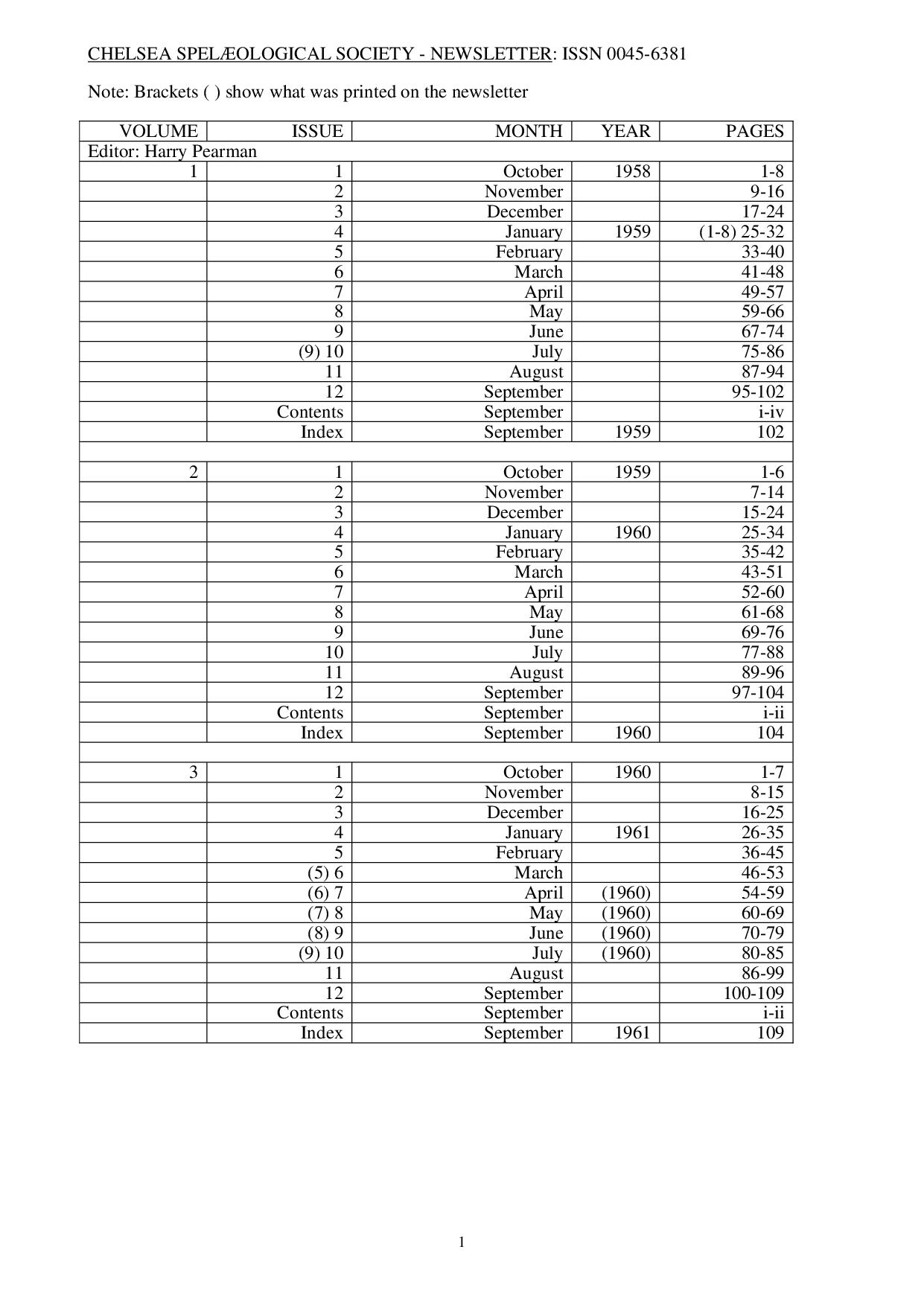
Publications > Peak District Mines Historical Society > Newsletters 1959-1975
Publications > Peak District Mines Historical Society > UK Mines in 1896
Publications > Pit and Quarry magazine
Publications > Subterranea Britannica
Publications > Welsh Mines Society
Publications > World Mining
Publications > York Caving Club
Video > Adventure Traveller
Video > Ben o Cam
Video > Cornwall Underground
Video > David Webb
Video > Days of Darkness - Cornwall
Video > Hidden Earth
Video > Lost Mines
Video > Rossendale Collieries: Northern Industrial History
Video > Shonky Tours
Video > Sid Perou
Video > Tecopa Mines